• Предмет: Математика
  • Автор: ангел348
  • Вопрос задан 10 лет назад

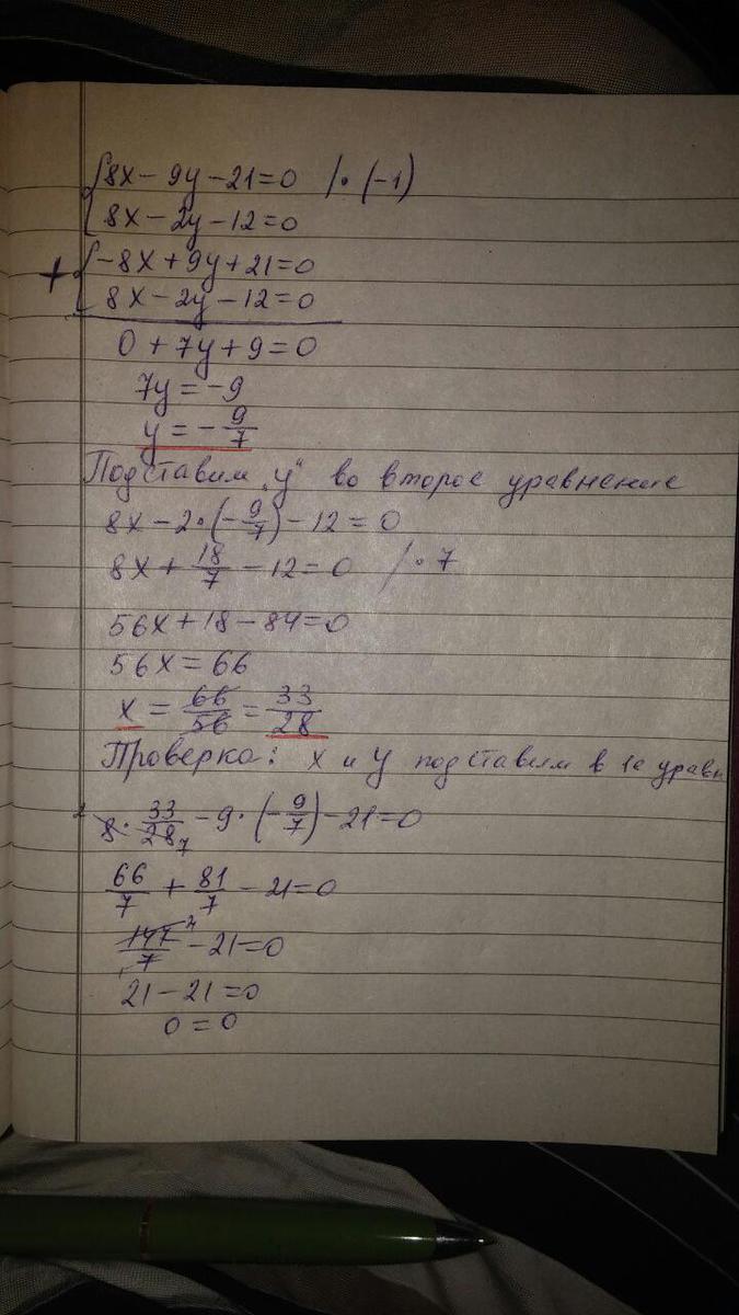
решите систему уравнений способом сложения заранее спасибо

Приложения:

Ответы

Ответ дал: varlena
0
Смотри решение на фото

Приложения:
Вас заинтересует