• Предмет: Химия
  • Автор: Anastasia589
  • Вопрос задан 10 лет назад

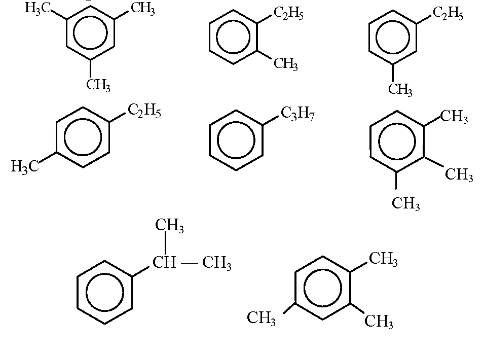
Составьте формулы изомеров углеводорода состава C9H14

Ответы

Ответ дал: kitty34000
0
Вот посмотри,здесь все правильно!
Приложения:
Вас заинтересует