Ответы
Ответ дал:
0
Решение в приложении
Приложения:
Ответ дал:
0
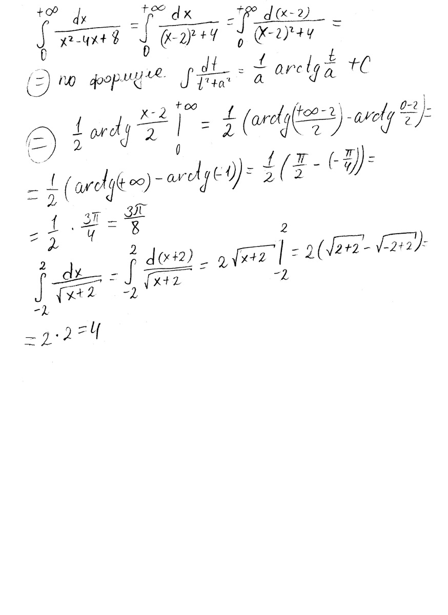
1) ∫dx/(x²-4x+8)=∫dx/((x-2)²+4)=∫d(x-2)/((x-2)²+2²)=1/2*arctg((x-2)/2). При x⇒+∞ lim 1/2*arctg((x-2)/2)=1/2*π/2=π/4, при x=0 1/2*arctg((x-2)/2)=1/2*(-π/4)=-π/8. Значит, интеграл сходится и равен π/4-(-π/8)=3*π/8.
Ответ: 3*π/8.
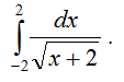
2) Здесь подынтегральная функция терпит разрыв при x=-2. Поэтому после нахождения первообразной вместо подстановки значения x=-2 придётся подставить вместо x число -2+e=e-2 (e - сколь угодно малое положительное число) рассмотреть предел при e⇒0. ∫dx/√(x+2)=∫d(x+2)/√(x+2)=2*√(x+2). При x=2 2*√(2+2)=4, а lim 2*√(e-2+2) при e⇒0=2*√e=0. Интеграл сходится и равен 4-0=4. Ответ: 4.
Ответ: 3*π/8.
2) Здесь подынтегральная функция терпит разрыв при x=-2. Поэтому после нахождения первообразной вместо подстановки значения x=-2 придётся подставить вместо x число -2+e=e-2 (e - сколь угодно малое положительное число) рассмотреть предел при e⇒0. ∫dx/√(x+2)=∫d(x+2)/√(x+2)=2*√(x+2). При x=2 2*√(2+2)=4, а lim 2*√(e-2+2) при e⇒0=2*√e=0. Интеграл сходится и равен 4-0=4. Ответ: 4.
Приложения:
Вас заинтересует
3 года назад
3 года назад
8 лет назад
8 лет назад
10 лет назад
10 лет назад
11 лет назад