• Предмет: Алгебра
  • Автор: Blincheg
  • Вопрос задан 10 лет назад

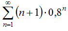
Исследовать ряд на сходимость

Приложения:

Ответы

Ответ дал: bearcab
0
Решение в приложении
Приложения:
Вас заинтересует