Решите примеры(положительные и отрицательные числа) :
а) 36,13-5,8+6,87=
б)-5,4-8,6+13,75=
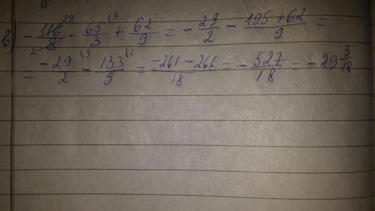
в) -116/8- 65/3+62/9=
Ответы
Ответ дал:
0
а) 36,13-5,8+6,87=37,2
б)-5,4-8,6+13,75=-0,25
в) -116/8- 65/3+62/9= (решение на фото)
б)-5,4-8,6+13,75=-0,25
в) -116/8- 65/3+62/9= (решение на фото)
Приложения:

Вас заинтересует
2 года назад
7 лет назад
7 лет назад
9 лет назад
10 лет назад