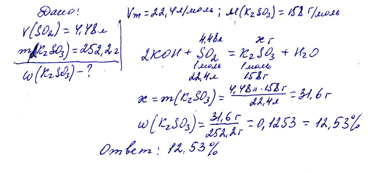
через раствор гидроксида калия пропустили 4.48 л сернистого газа (н.у) получили 252.2 г раствора сульфита калия. Вычислите w% cоли в полученном растворе
Ответы
Ответ дал:
0
Решение задачи см. во вложении
в дано m(p-pa K2SO3) = 252.2 г
в дано m(p-pa K2SO3) = 252.2 г
Приложения:
Вас заинтересует
2 года назад
2 года назад
8 лет назад
10 лет назад
10 лет назад