• Предмет: Алгебра
  • Автор: dhhssh
  • Вопрос задан 10 лет назад

Ребята, помогите, пожалуйста, решите, хотя-бы 3-4 примера, желательно на листочке

Приложения:

Ответы

Ответ дал: NNNLLL54
0
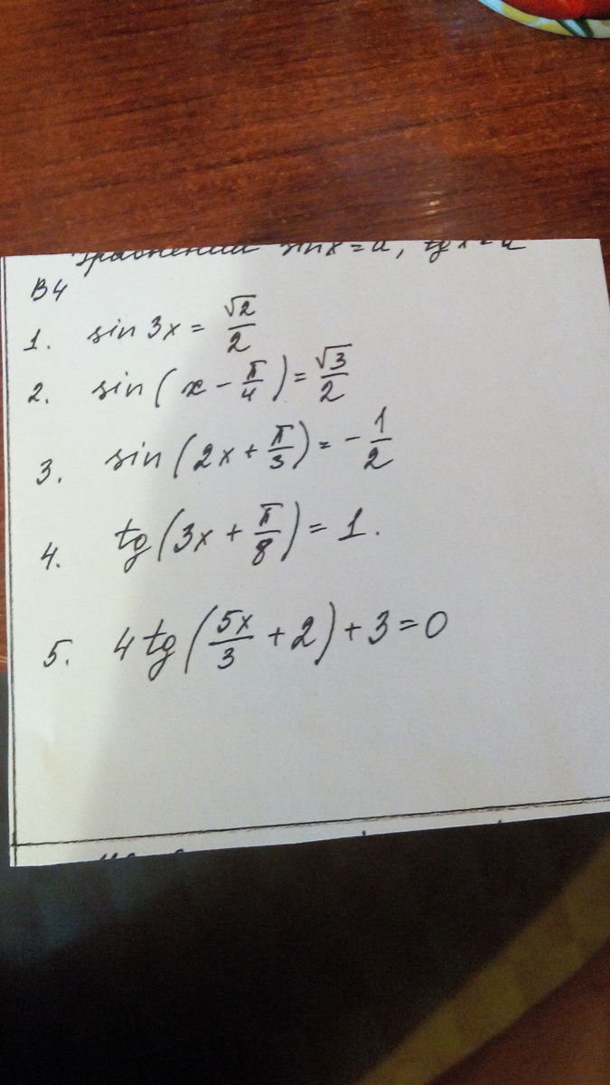
1); sin3x=frac{sqrt2}{2}\\3x=(-1)^{n}arcsinfrac{sqrt2}{2}+pi n=(-1)^{n}frac{pi}{4}+pi n,\\x=(-1)^{n}frac{pi}{12}+frac{pi n}{3}; ,; nin Z\\2); sin(2x+frac{pi}{3})=-frac{1}{2}\\2x+frac{pi}{3}=(-1)^{n}arcsin(-frac{1}{2})+pi n=(-1)^{n}cdot (-arcsinfrac{1}{2})+pi n=\\=(-1)^{n+1}cdot frac{pi}{6}+pi n,; nin Z\\2x=(-1)^{n+1}frac{pi}{6}-frac{pi}{3}+pi n\\x=(-1)^{n+1}frac{pi}{12}-frac{pi}{6}+frac{pi n}{2}; ,; nin Z

3); 4tg(frac{5x}{3}+2)+3=0\\tg(frac{5x}{3}+2)=-frac{3}{4}\\frac{5x}{3}+2=arctg(-frac{3}{4})+pi n=-arctgfrac{3}{4}+pi n; ,; nin Z\\frac{5x}{3}=-arctgfrac{3}{4}-2+pi n; ,; nin Z\\x=-frac{3}{5}arctgfrac{3}{4}-frac{6}{5}+frac{3pi n}{5}; ,; nin Z
Ответ дал: dhhssh
0
Ничего не понятно,можете написать на листочке, пожалуйста
Ответ дал: NNNLLL54
0
Перезагрузи страницу, тогда редактор формул сработает...Нечего сразу ставить нарушение, не разобравшись.
Ответ дал: NNNLLL54
0
Перезагружай не с телефона
Вас заинтересует