Ответы
Ответ дал:
0
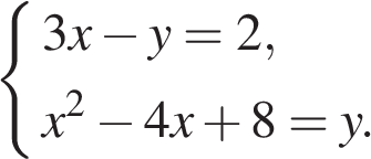
3x - y = 2
y = 3x - 2
x^2 - 4x + 8 = 3x - 2
x^2 - 7x + 10 = 0
(x - 2)(x - 5) = 0
x = 2, y = 4
x = 5, y = 13
y = 3x - 2
x^2 - 4x + 8 = 3x - 2
x^2 - 7x + 10 = 0
(x - 2)(x - 5) = 0
x = 2, y = 4
x = 5, y = 13
Вас заинтересует
3 года назад
8 лет назад
8 лет назад