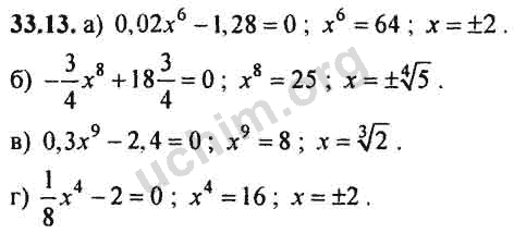
скажите, почему получился ответ ± кор. 4 степени из 5? объясните почему именно ± ? Как его получить?
задание решить уравнение ( 10 класс ) пример под буквой б)
Приложения:

Ответа на этот вопрос пока нет. Попробуйте найти его через форму поиска.
Вас заинтересует
2 года назад
2 года назад
7 лет назад
7 лет назад
9 лет назад
10 лет назад