Ответы
Ответ дал:
0
ответ находится во вложении
Приложения:

Ответ дал:
0
Вы забыли про ОДЗ.
Ответ дал:
0
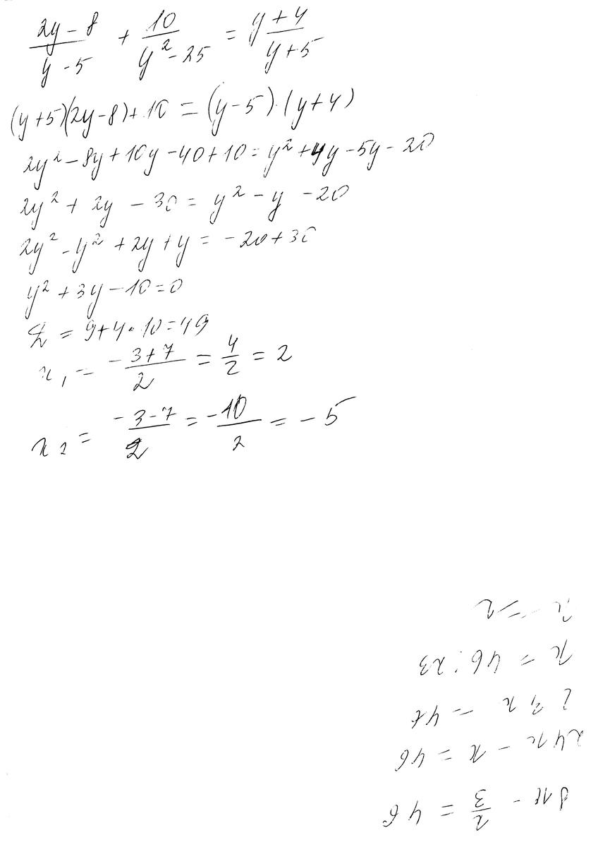
Держи. Если что-нибудь непонятно — спрашивай. :)
Приложения:

Ответ дал:
0
Спасибо большое) А можешь ещё помочь пожалуйста? :)
Ответ дал:
0
Что именно?
Вас заинтересует
2 года назад
2 года назад
7 лет назад
7 лет назад
9 лет назад
9 лет назад
10 лет назад