• Предмет: Алгебра
  • Автор: Аноним
  • Вопрос задан 11 лет назад

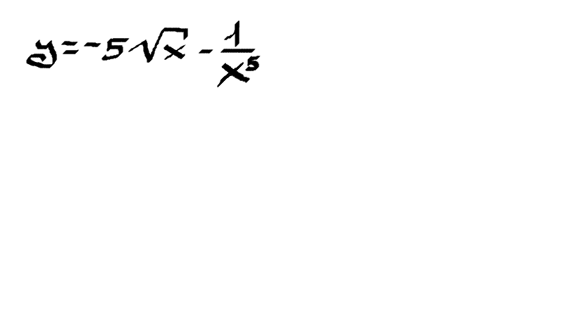
Помогите найти производную функции.

(пример во влажениях )

Приложения:

Ответы

Ответ дал: nelle987
0

y'=(-5sqrt x-frac1{x^5})'=-5(x^frac12)'-(x^{-5})'=-frac5{2sqrt x}+frac5{x^6}

Вас заинтересует