• Предмет: Алгебра
  • Автор: CML
  • Вопрос задан 11 лет назад

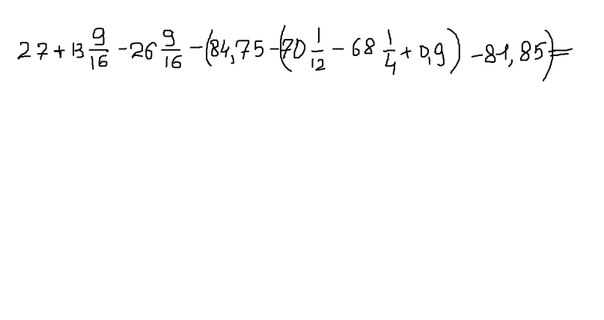
Решите пример! (дробями по действиям) и ответ

Приложения:

Ответы

Ответ дал: яВиктория
0

1) 70 1/12 - 68 ¼ = 1 10/12

2) 1 1/10 + 9/10= 110/60 + 54/60=164/60

3) 8475/100-164/60 = 50850/600-1640/600 = 49210/600

4) 49210/600 - 49110/600 = 100/600 = 1/6

5) 27 + 13 9/16 = 40 9/16

6) 40 9/16 - 26 9/16 = 14

7) 14 - 1/6 = 13 6/6 - 1/6 = 13 5/6

 

Ответ: 13 5/6

Вас заинтересует