Ответы
Ответ дал:
0
См. влож
==================
Приложения:

Ответ дал:
0
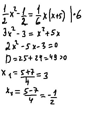
Тут 2 корня X1=1/3
X2=5/6
решение на картинке
Каркулятор считал )
Приложения:


Вас заинтересует
2 года назад
2 года назад
8 лет назад
10 лет назад
10 лет назад