Помогите решить 7 класс ... можно на листе , пожалуйста,с подробным решением Просто я хочу не просто списать , а еще и понять ..
Приложения:
Ответы
Ответ дал:
0
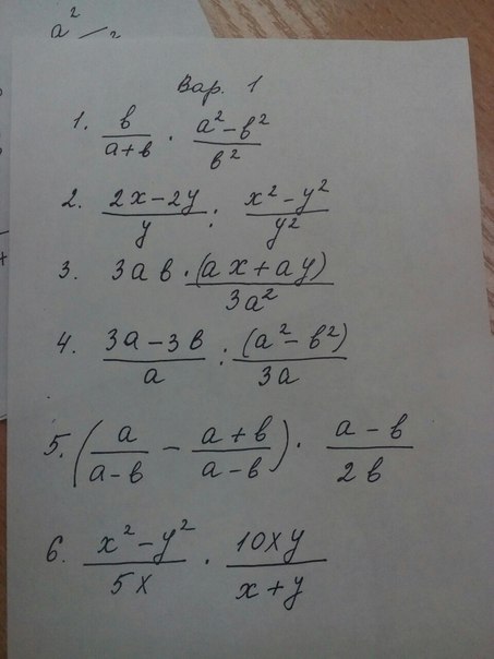
1) b*(a²-b²) /(a+b)*b² =(a-b)(a+b) /b(a+b) = (a-b)/b
2) 2(x-y)/y * y²/(x²-y²) =
2(x-y)*y² /y*(x-y)(x+y) =
2y/(x+y)
3) 3ab*a(x+y) /3a² =
3a²b(x+y) /3a² =b(x+y)
4) 3(a-b)/a * 3a/(a²-b²) =
3(a-b)*3a /a(a-b)(a+b) =
9/(a+b)
5) a-b общий знаменатель
(a-(a+b)) /(a-b) * (a-b)/2b =
(a-a+b) *(a-b) / (a-b)*2b =1/2 =0.5
6) (x²-y²) *10xy /5x*(x+y) =
2y(x-y)(x+y) /(x+y) =2y(x-y)
2) 2(x-y)/y * y²/(x²-y²) =
2(x-y)*y² /y*(x-y)(x+y) =
2y/(x+y)
3) 3ab*a(x+y) /3a² =
3a²b(x+y) /3a² =b(x+y)
4) 3(a-b)/a * 3a/(a²-b²) =
3(a-b)*3a /a(a-b)(a+b) =
9/(a+b)
5) a-b общий знаменатель
(a-(a+b)) /(a-b) * (a-b)/2b =
(a-a+b) *(a-b) / (a-b)*2b =1/2 =0.5
6) (x²-y²) *10xy /5x*(x+y) =
2y(x-y)(x+y) /(x+y) =2y(x-y)
Ответ дал:
0
значок / обозначает дробь
Ответ дал:
0
при делении дробь переворачиваем и будет умножение
Вас заинтересует
3 года назад
8 лет назад
10 лет назад