Помогите решить примеры. Я не понимаю как решать их кто объяснит?
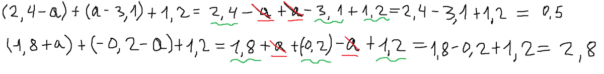
(2,4-а)+(а-3,1)+1,2
(1,8+а)+(-0,2-а)+1,2
Ответы
Ответ дал:
0
решение на фото)))))))))
Приложения:

Ответ дал:
0
Спасибо
Ответ дал:
0
пожалуйста
Вас заинтересует
2 года назад
7 лет назад
7 лет назад
9 лет назад
9 лет назад
10 лет назад