• Предмет: Математика
  • Автор: Cate121
  • Вопрос задан 10 лет назад

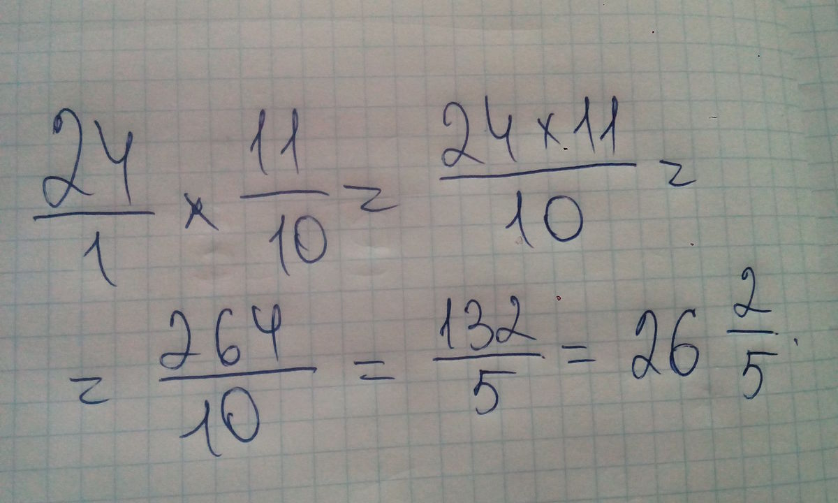
Как 24 умножить на дробь 11/10
Помогите пожалуйста

Ответы

Ответ дал: alinaholod1
0
когда получилось 264/10 , сократим на 2(поделим)
Приложения:
Вас заинтересует