• Предмет: Математика
  • Автор: Dingaspb
  • Вопрос задан 10 лет назад

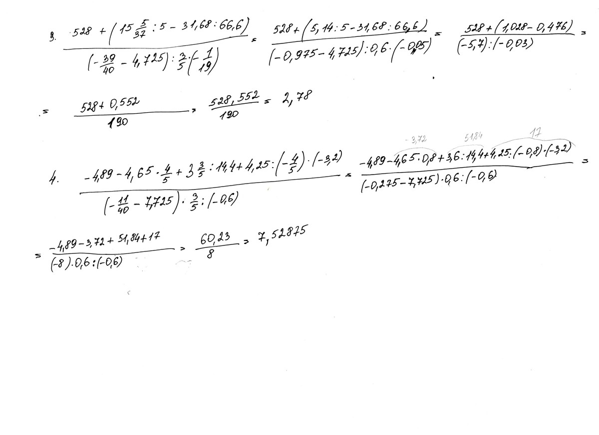
решите примеры 2 примера решите срочно плз

Приложения:

Ответы

Ответ дал: strebkova92
0

Ответ прикрепила на фото

Приложения:
Вас заинтересует