Ответы
Ответ дал:
0
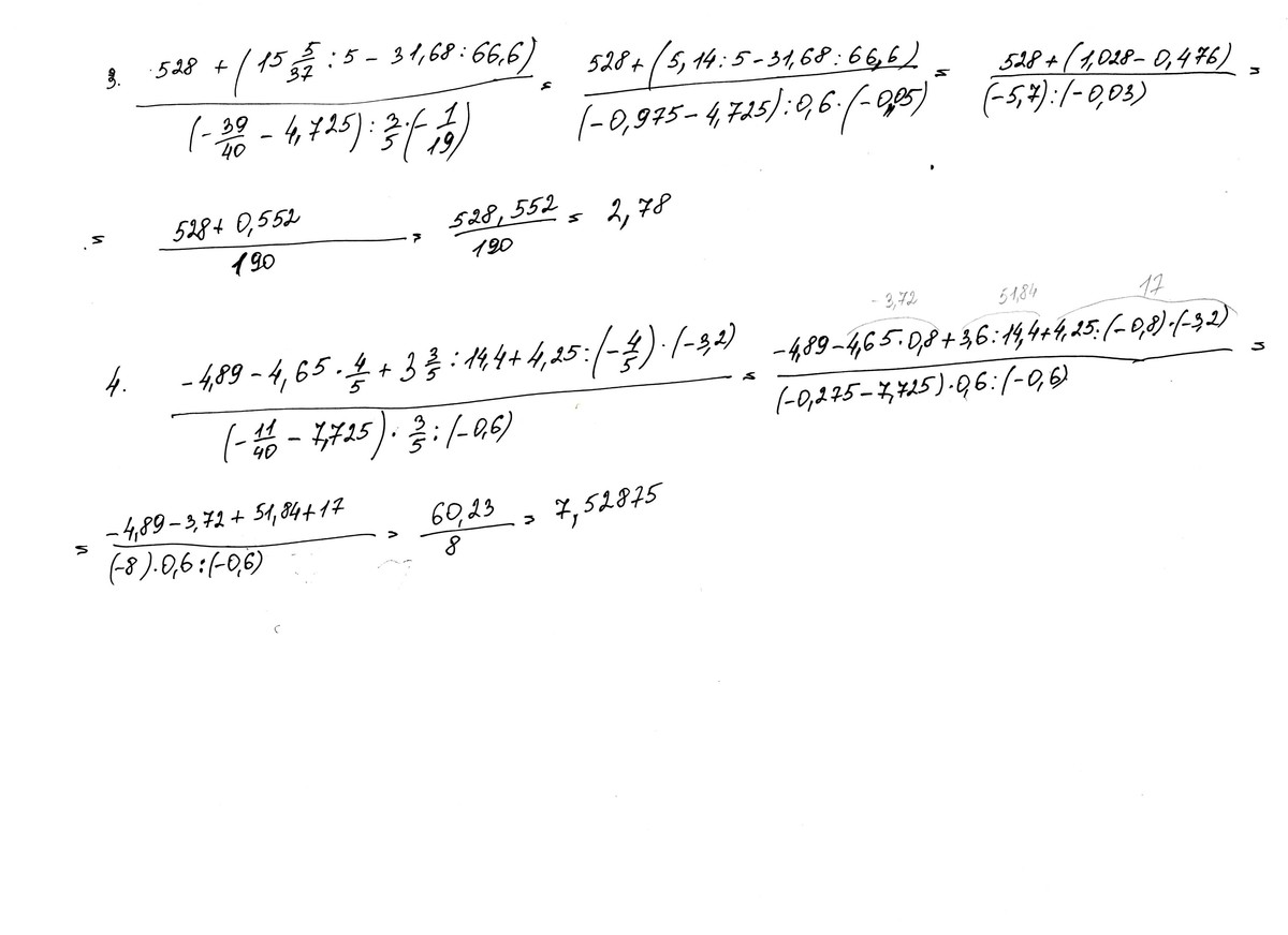
В первом выражении я округляла числа до сотых или тысячных, а во втором все числа как есть, так и записала.
Ответ во вложении
Приложения:

Вас заинтересует
2 года назад
7 лет назад
10 лет назад