Ответы
Ответ дал:
0
sin(3x/2+π/12)<√2/2
3π/4+2πk<3x/2+π/12<9π/4+2πk
3π/4-π/12+2πk<3x/2<9π/4-π/12+2πk
2π/3+2πk<3x/2<13π/6+2πk (умнож на 2/3)
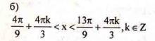
4π/9+4πk/9<x<13π/9+4πk/9,k∈z
3π/4+2πk<3x/2+π/12<9π/4+2πk
3π/4-π/12+2πk<3x/2<9π/4-π/12+2πk
2π/3+2πk<3x/2<13π/6+2πk (умнож на 2/3)
4π/9+4πk/9<x<13π/9+4πk/9,k∈z
Вас заинтересует
2 года назад
2 года назад
8 лет назад
10 лет назад
10 лет назад
10 лет назад