Ответы
Ответ дал:
0
1. В
2. А
3. Г
4. Д
5. Б
6. Г
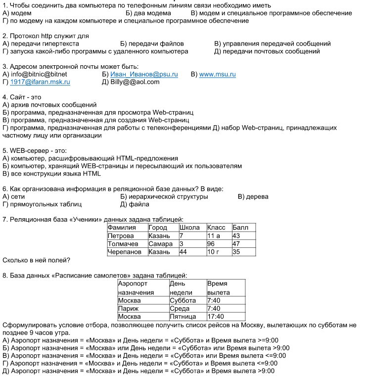
7. 5
8. Г
2. А
3. Г
4. Д
5. Б
6. Г
7. 5
8. Г
Вас заинтересует
3 года назад
3 года назад
8 лет назад
8 лет назад
10 лет назад
10 лет назад