• Предмет: Алгебра
  • Автор: EgorZhernov
  • Вопрос задан 11 лет назад

Привет, мне нужна помощь с домашней работой. Мое домашнее задание во вложениях. Помогите, можно пожалуйста полное решение.

Приложения:

Ответы

Ответ дал: Artem112
0

крутая домашняя я хочу сказать...
надеюсь будет понятно...

Приложения:
Ответ дал: динга
0

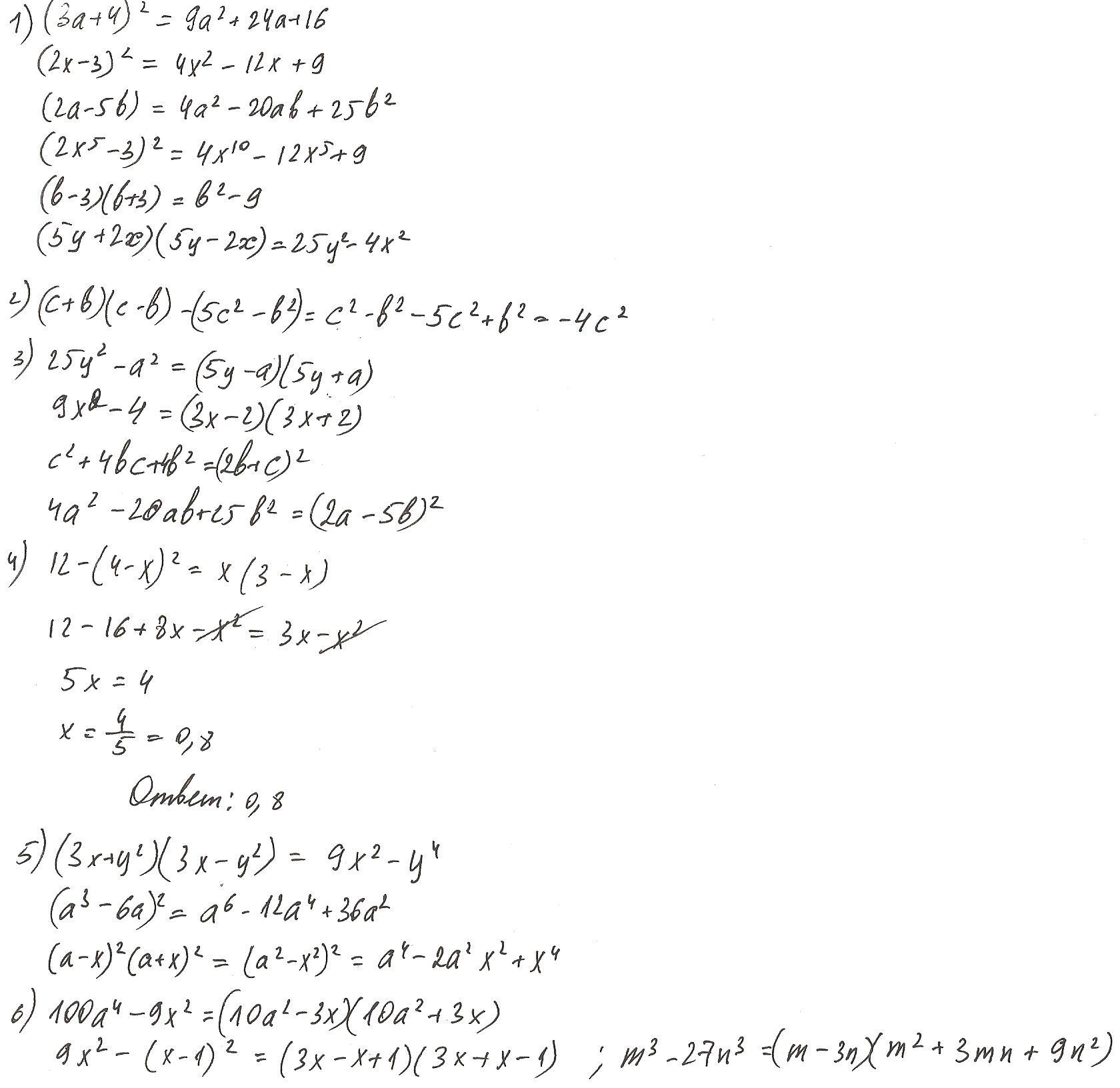
1)

а)(3а+4)^2=9а^2+24а+16

б)(2х-3)^2=4х^2-12х+9

в)(2а-5в)^2=4а^2-20ав+25в^2

г) там вроде ошибка в самом примере

д)(в-3)(в+3)=в^2+3в-3в-9=в^2-9

е)(5у+2х)(5у-2х)=25у^2-10ху+10ху-4х^2=25у^2-4х^2

2)

(с+в)(с-в)-(5с^2-в^2)=с^2-св+св-в^2-5с^2+в^2=-4с^2

3)

а)25у^2-а^2=(5у-а)(5у+а)

б)с^2+4вс+4в^2=(с+2в)^2

в)9х^2-4=(3х-2)(3х+2)

г)4а^2-20ав+25в^2=(2а-5в)^2

4)

12-(4-х)^2=х(3-х)

12-(16-8х+х^2)=3х-х^2

12-16+8х-х^2=3х-х^2

12-16+8х-х^2-3х+х^2=0

5х-4=0

5х=4

х=0,8                               

Приложения:
Вас заинтересует