• Предмет: Математика
  • Автор: AlexGalil
  • Вопрос задан 10 лет назад

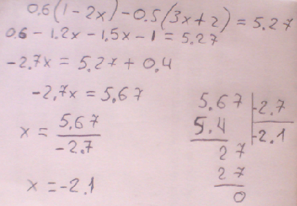
Решите уравнения 0,6.(1-2x)-0,5.(3x+2)=5,27
Точки это умножения

Ответы

Ответ дал: SolRu
0
Решение смотрите в вложении
Приложения:
Ответ дал: Olims
0
0,6-1,2x-1,5x+1=5,27
1,6-2,7x=5,27
2,7x=6,87
Приложения:
Вас заинтересует