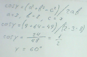
Теорему косинусов можно записать в виде cosγ = (a2+b2–c2)/2ab, где a, b и c – стороны треугольника, а γ – угол между сторонами a и b. Пользуясь этой формулой, найдите величину cosγ, если a=3, b=8 и c=7
Ответы
Ответ дал:
0
Решение смотрите в вложении
Приложения:

Вас заинтересует
2 года назад
2 года назад
7 лет назад
7 лет назад
9 лет назад
10 лет назад