• Предмет: Алгебра
  • Автор: veysmana
  • Вопрос задан 10 лет назад

Помогите решить. Очень нужно. Буду очень благодарна.

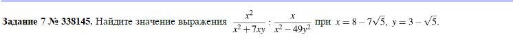
Приложения:

Ответа на этот вопрос пока нет. Попробуйте найти его через форму поиска.

Вас заинтересует