• Предмет: Математика
  • Автор: sunshine17
  • Вопрос задан 10 лет назад

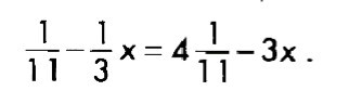
РЕШИТЕ УРАВНЕНИЕ!!!
ПОЖАЛУЙСТА!!!

Приложения:

Ответа на этот вопрос пока нет. Попробуйте найти его через форму поиска.

Вас заинтересует