• Предмет: Математика
  • Автор: volkova101
  • Вопрос задан 10 лет назад

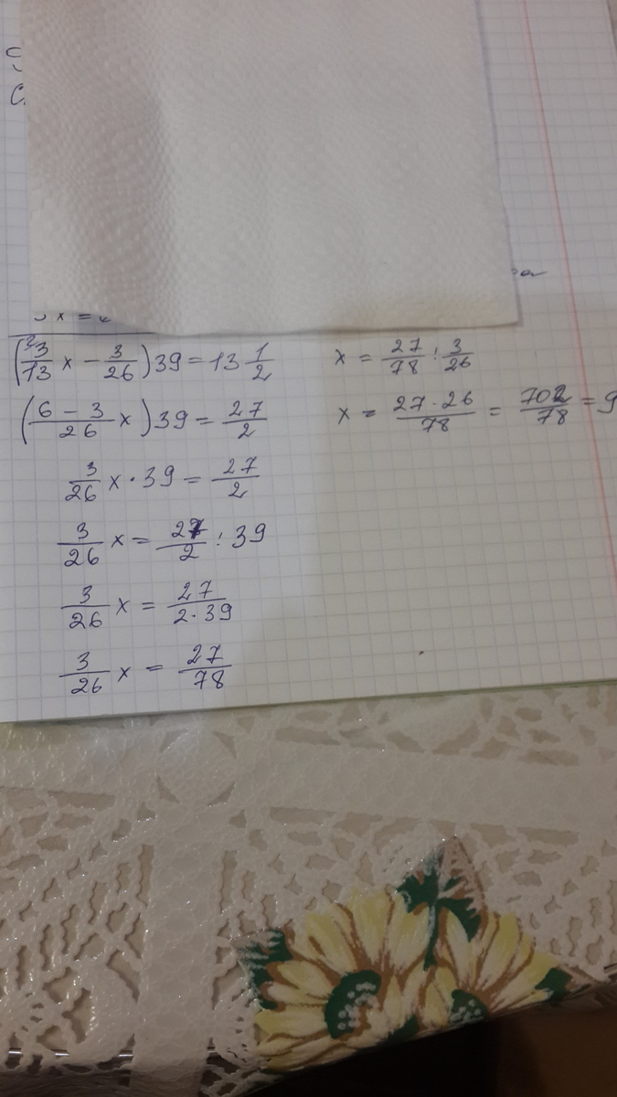
решите уравнение (3/13х-3/26)*39=13 1/2

Ответы

Ответ дал: Kopycat
0
если память мне не изменяет, то вот такое решение.
прошу прощения за почерк-торопилась
Приложения:
Вас заинтересует