• Предмет: Алгебра
  • Автор: 58722001
  • Вопрос задан 10 лет назад

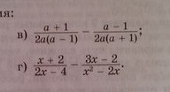
решите, пожалуйста , пожалуйста, пожалуйста.

Приложения:

Ответы

Ответ дал: krugly1981
0
Решение на фото)))))))))))))))
Приложения:
Вас заинтересует