• Предмет: Алгебра
  • Автор: kek2812
  • Вопрос задан 10 лет назад

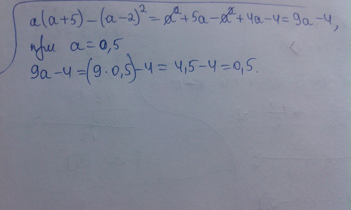
Упростите выражение a(a+5) - (a-2)^2 и найдите его значение при а=0,5

Ответы

Ответ дал: dominowood
0
я думаю оно решается так)
Приложения:
Вас заинтересует