Ответы
Ответ дал:
0
привет) принимай ответ)
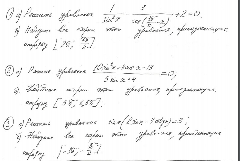
раскрываем скобки:
заменяем по формуле

получаем квадратное уравнение :
где z=
раскрываем скобки:
заменяем по формуле
получаем квадратное уравнение :
Ответ дал:
0
дальше проще простого
Вас заинтересует
3 года назад
8 лет назад
10 лет назад
10 лет назад
10 лет назад
10 лет назад