Умоляю помогите!!!
Упростите:
2/3*(4,5x - 9/16y) -1,8*(5/9x+25/72y)
/ - Это дробь.
* - Это умножение
Ответы
Ответ дал:
0
Я думаю, что так.Надеюсь, что помогла:з
Приложения:

Ответ дал:
0
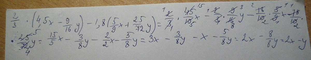
2/3 • (4,5х - 9у/16) - 1,8 • (5х/9 + 25у/72) =
= 2/3 • (45х/10 - 9у/16) - 18/10 • (5х/9 + 25у/72)=
= 2•9/(3•2) • (5х/5 - у/8) - 18•5/(10•9) • (х + 5у/8) =
= 3(х - у/8) - (х + 5у/8) =
= 3х - 3у/8 - х - 5у/8 =
= 2х - 8у/8 = 2х -у
= 2/3 • (45х/10 - 9у/16) - 18/10 • (5х/9 + 25у/72)=
= 2•9/(3•2) • (5х/5 - у/8) - 18•5/(10•9) • (х + 5у/8) =
= 3(х - у/8) - (х + 5у/8) =
= 3х - 3у/8 - х - 5у/8 =
= 2х - 8у/8 = 2х -у
Приложения:

Вас заинтересует
2 года назад
2 года назад
7 лет назад
9 лет назад
9 лет назад
10 лет назад
10 лет назад