Срочно!!!! Надо очень бысто пожалуйста
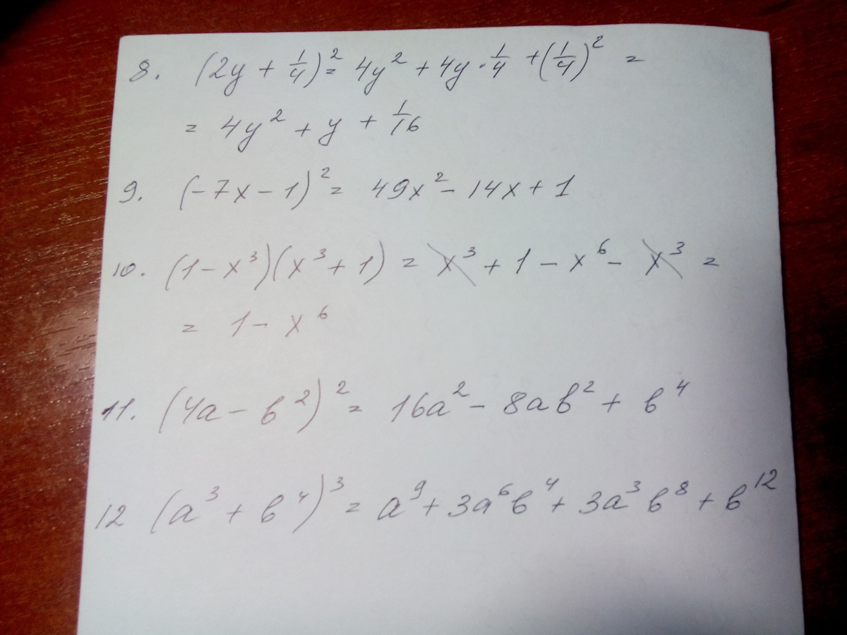
8. (2y+1/4) в квадрате
9. (-7х-1) в квадрате
10.(1-х в кубе)(х в кубе + 1)
11. (4а- b в квадрате)в квадрате
12. (а в кубе + b в четвертой степени) в кубе.
Ответы
Ответ дал:
0
неплохо было бы знать задание, а то в последних непонятно, что нужно делать
Приложения:
Ответ дал:
0
(а + в)² = а² + 2ав + в²
(а - в)² = а ² - 2ав + в²
(а + в)³ = а³ + 3а²в + 3ав² + в³
(а - в)² = а ² - 2ав + в²
(а + в)³ = а³ + 3а²в + 3ав² + в³
Приложения:
Вас заинтересует
2 года назад
2 года назад
8 лет назад
8 лет назад
10 лет назад