• Предмет: Алгебра
  • Автор: коновал15776
  • Вопрос задан 10 лет назад

Сделайте 3 номер прошу

Приложения:

Ответы

Ответ дал: mark261
0
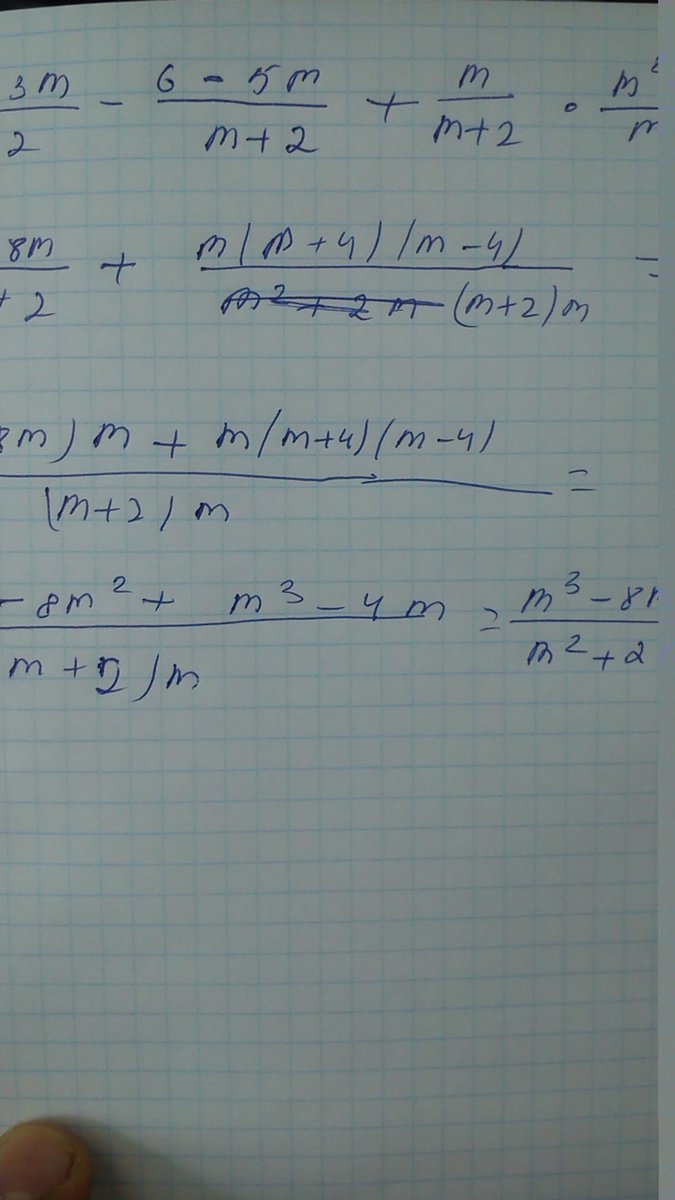
упростить выражение? m^3-8m^2/m^2+2m.
Приложения:
Вас заинтересует