Ответы
Ответ дал:
0
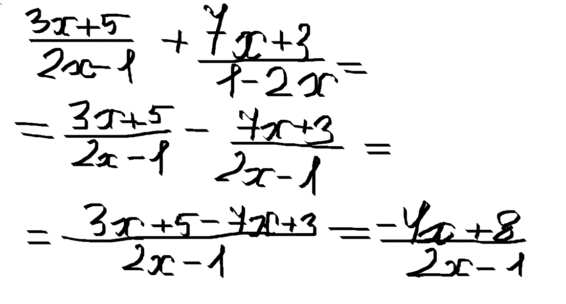
Всё показано на картинке
Приложения:

Ответ дал:
0
(3x+5)/(2x-1) + (7x+3)/(1-2x)= -2
Приложения:

Вас заинтересует
2 года назад
2 года назад
9 лет назад
10 лет назад