• Предмет: Алгебра
  • Автор: KaterinaLebedevaTLT
  • Вопрос задан 10 лет назад

Срочно!!!
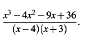
Со­кра­ти­те дробь:

Приложения:

Ответа на этот вопрос пока нет. Попробуйте найти его через форму поиска.

Вас заинтересует