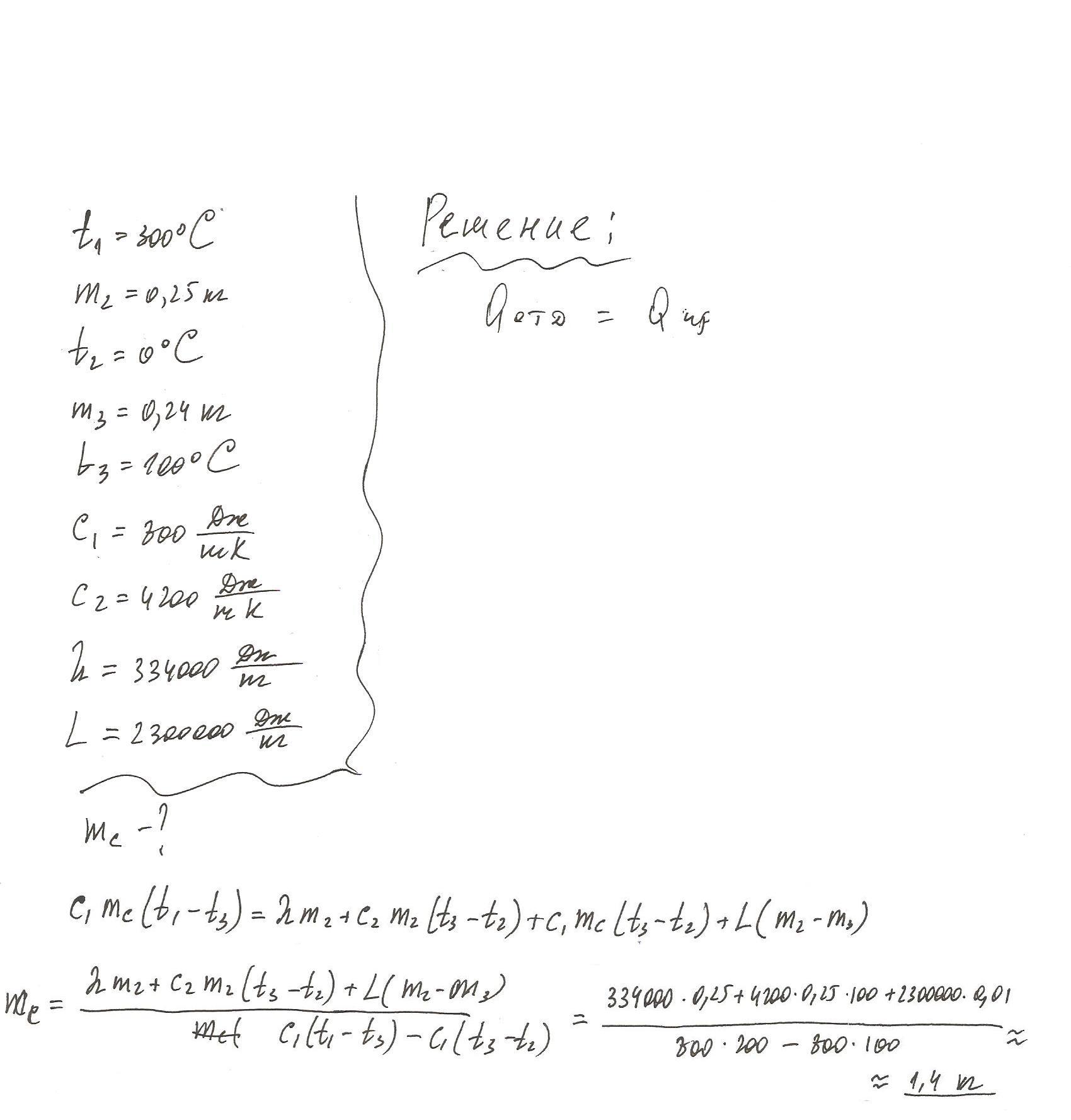
В массивный алюминиевый сосуд, нагретый до температуры t1 = 300° C, положили лед массой m2 = 0,25 кг при температуре t2 = 0° С. Когда температура сосуда сравнялась с температурой его содержимого, оказалось, что в сосуде находится вода массой m3 = 0,24 кг при t3 = 100° С. Какова масса сосуда? Удельная теплоемкость алюминия с1 = 800 Дж/(кг • К), уд. теплоемкость воды с2 = 4,2 × 10^3 Дж/(кг • К), уд. теплота плавления льда λ = 3,34 × 10^5 Дж/кг, уд. теплота парообразования воды при 100° С r = 2,3 × 10^6 в Дж/кг.
Ответы
Ответ дал:
0
надеюсь будет понятно...
Приложения:

Вас заинтересует
2 года назад
2 года назад
8 лет назад
8 лет назад
10 лет назад
10 лет назад