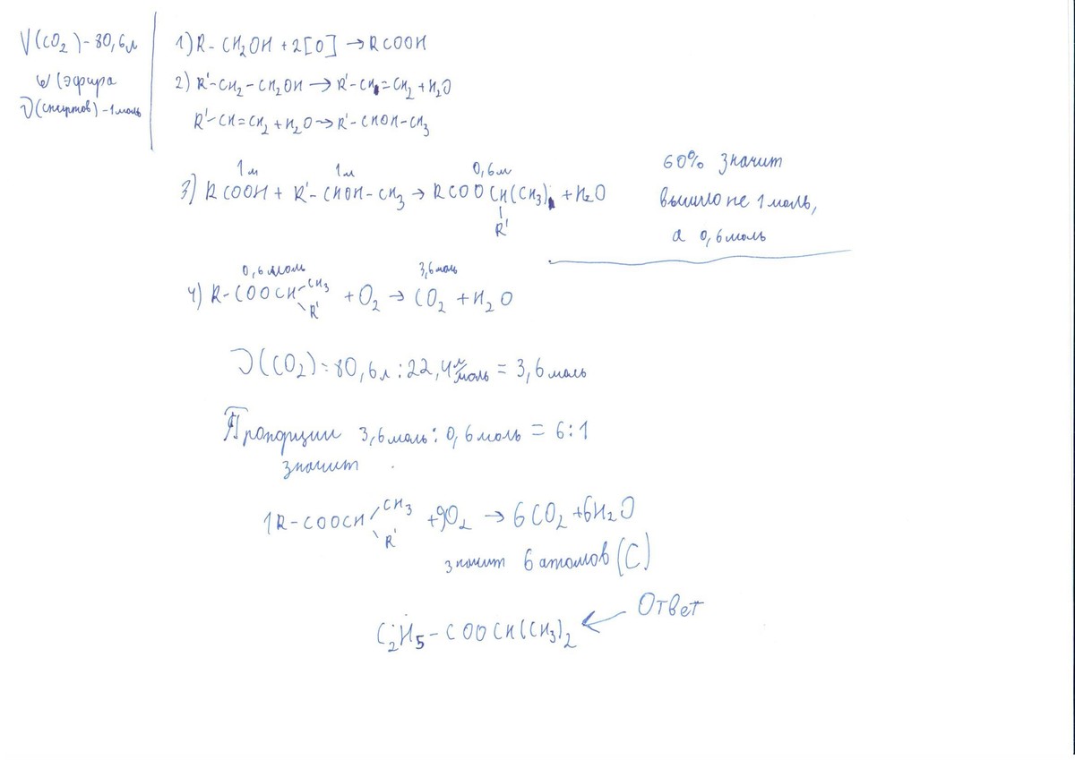
Моль насыщенного одноатомного спирта окислили в кислоту. Такое же количество спирта дегидратировали, а затем гидратировали. Из полученных в результате этих реакций продуктов синтезировали сложный эфир, при сгорании которого образуется 80,6 л (н.у.) углекислого газа. Какое строение имеет сложный эфир, если его выход составляет 60%, а остальные реакции протекают количественно.
Ответы
Ответ дал:
0
Здравствуйте, я абсолютно с вами не знаком и уверен, что никогда не видел вас вживую, но очень хочу решить вашу задачу!
Приложения:

Вас заинтересует
2 года назад
2 года назад
8 лет назад
8 лет назад
10 лет назад
10 лет назад