Помогите, пожалуйста, как правильно написать формулу в excel чтобы получилось число а не лож
Задание по теме Одномерные массивы по информатике
Приложения:
Ответы
Ответ дал:
0
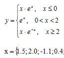
Если значение x записано в ячейке A1, то формула будет такой:
=ЕСЛИ(A1<=0;A1*EXP(A1);ЕСЛИ(A1<=2;EXP(A1);A1*EXP(-A1)))
=ЕСЛИ(A1<=0;A1*EXP(A1);ЕСЛИ(A1<=2;EXP(A1);A1*EXP(-A1)))
Ответ дал:
0
Спасибо тебе большое)
Ответ дал:
0
Пожалуйста
Вас заинтересует
2 года назад
2 года назад
8 лет назад
8 лет назад
10 лет назад
10 лет назад
10 лет назад