Ответы
Ответ дал:
0
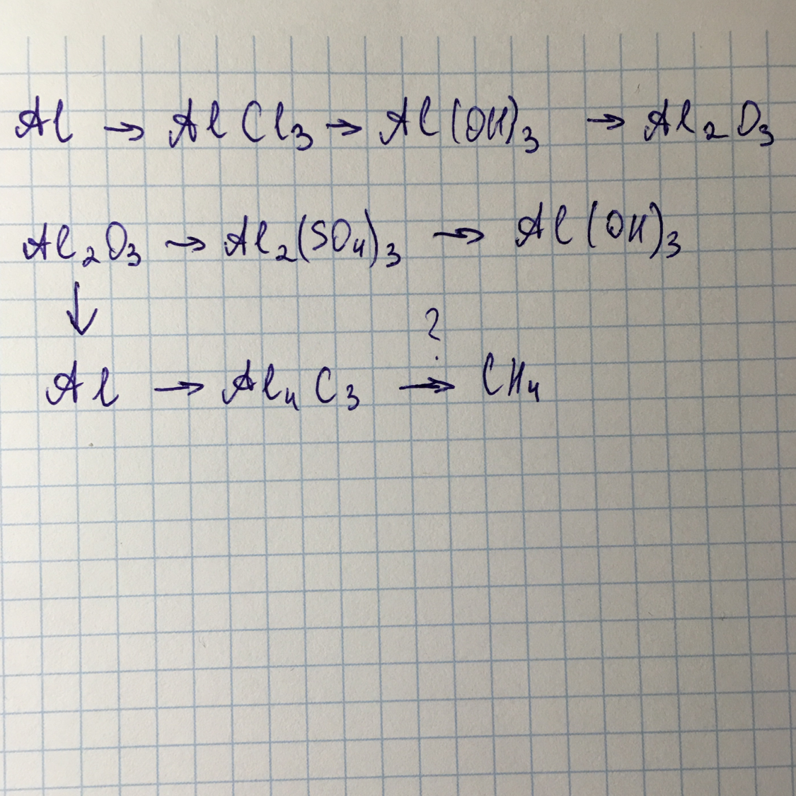
1)Al+Cl2= AlCl3
2)AlCl3 + NaOH= Al(OH)3 + NaCl
3)2Al(OH)3=Al2O3 + 3H2O
4)Al2O3+3H2SO4=Al2(SO4)3 + 3H2O
5)Al2(SO4)3+6KOH=3K2SO4 + 2Al(OH)3
6)Al2O3+3CO=2Al+3CO2
7)3С+Al=4Al4C3
8)Al4C3+H2O=Al(OH)3+CH4
2)AlCl3 + NaOH= Al(OH)3 + NaCl
3)2Al(OH)3=Al2O3 + 3H2O
4)Al2O3+3H2SO4=Al2(SO4)3 + 3H2O
5)Al2(SO4)3+6KOH=3K2SO4 + 2Al(OH)3
6)Al2O3+3CO=2Al+3CO2
7)3С+Al=4Al4C3
8)Al4C3+H2O=Al(OH)3+CH4
Вас заинтересует
3 года назад
3 года назад
8 лет назад
10 лет назад
10 лет назад
11 лет назад