• Предмет: Алгебра
  • Автор: АнастасияВоробьёва
  • Вопрос задан 10 лет назад

СРОЧНО! Помогите, пожалуйста, решить пример по алгебре

Приложения:

Ответы

Ответ дал: TARTILLO
0
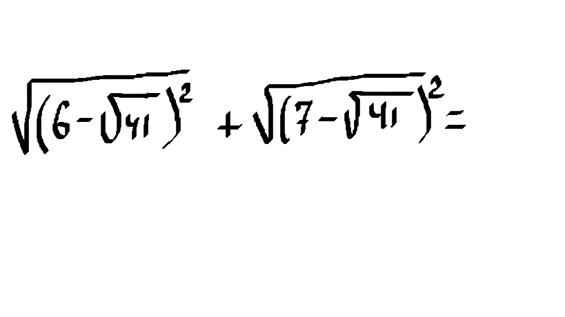
I (6-√41) I + I (7-√41) I= √41 -6 + 7-√41=1

Т.К 6<√41    7>√41
Ответ дал: АнастасияВоробьёва
0
О, спасибо))
Вас заинтересует