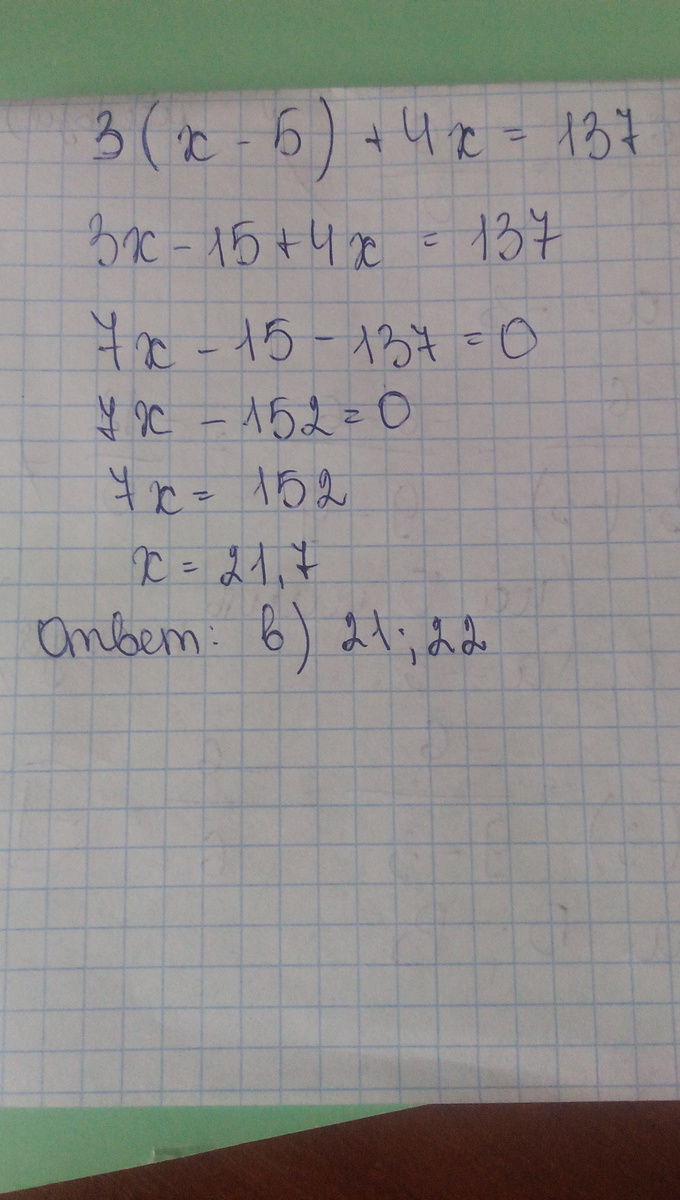
решите уравнение 3(x-5)+4x=137 найдите два соседних целых числа, между которыми расположен корень уранения
а)19,20
б)20,21
в)21,22
г)23,24
Ответы
Ответ дал:
0
............. .......
Приложения:

Вас заинтересует
2 года назад
2 года назад
7 лет назад
9 лет назад
9 лет назад
10 лет назад
10 лет назад