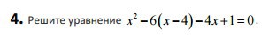
• Предмет: Алгебра
  • Автор: Nik0251
  • Вопрос задан 10 лет назад

.........................................

Приложения:

Ответа на этот вопрос пока нет. Попробуйте найти его через форму поиска.

Вас заинтересует