Ответы
Ответ дал:
0
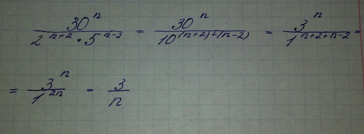
Тут полное решение примера.Если будут вопросы, пишите!!!
Приложения:

Ответ дал:
0
Представим 30^n = (2 x 5 x 3)^n = 2^n x 5^n x 3^n. Теперь сокращаем числители и знаменатели: при сокращении 2^n и 2^n+2 получаем 2^2, т.е. 4, при сокращении 5^n и 5^n-2 получаем 5^-2, а 3^n остается в числителе. Получаем дробь: 4 х 3^n /25
Приложения:

Ответ дал:
0
Так как решила Олюсенька решать нельзя!
Вас заинтересует
2 года назад
2 года назад
7 лет назад
9 лет назад
9 лет назад
10 лет назад
10 лет назад