Ответы
Ответ дал:
0
1
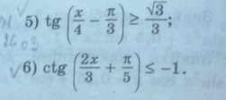
π/3+πn≤x/4-π/3<π/2+πn,n∈z
2π/3+πn≤x/4≤5π/6+πn,n∈z
8π/3+4πn≤x≤10π/3+4πn,n∈z
2
3π/4+πn≤2x/3+π/5<π+πn,n∈z
11π/20+πn≤2x/3≤4π/5+πn,n∈z
33π/40+3πn/2≤x≤6π/5+3πn/2,n∈z
π/3+πn≤x/4-π/3<π/2+πn,n∈z
2π/3+πn≤x/4≤5π/6+πn,n∈z
8π/3+4πn≤x≤10π/3+4πn,n∈z
2
3π/4+πn≤2x/3+π/5<π+πn,n∈z
11π/20+πn≤2x/3≤4π/5+πn,n∈z
33π/40+3πn/2≤x≤6π/5+3πn/2,n∈z
Ответ дал:
0
по понятней можно расписать?
Вас заинтересует
3 года назад
3 года назад
8 лет назад
10 лет назад
10 лет назад
10 лет назад