Ответы
Ответ дал:
0
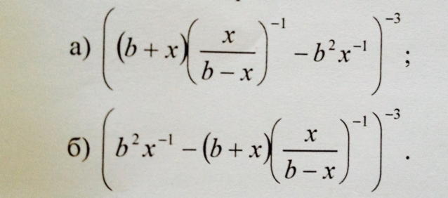
a) 1. (b+x)(b-x)/x - (b²/x) = (b² -x² -b²) /x = -x² /x = -x
2. (-x)^(-3) = -1/x^3
b) 1. b²/x -(b+x)(b-x)/x =(b² -(b² -x²) /x =(b²-b²-x²) /x =
= -x²/x = -x
2. (-x)^(-3) = -1/x^3
значок ^ обозначает в степени
x^(-1) =1/x^1, 1/x^(-1) =x^1
2. (-x)^(-3) = -1/x^3
b) 1. b²/x -(b+x)(b-x)/x =(b² -(b² -x²) /x =(b²-b²-x²) /x =
= -x²/x = -x
2. (-x)^(-3) = -1/x^3
значок ^ обозначает в степени
x^(-1) =1/x^1, 1/x^(-1) =x^1
Вас заинтересует
3 года назад
3 года назад
8 лет назад
8 лет назад
10 лет назад
10 лет назад
10 лет назад
10 лет назад