Ответы
Ответ дал:
0
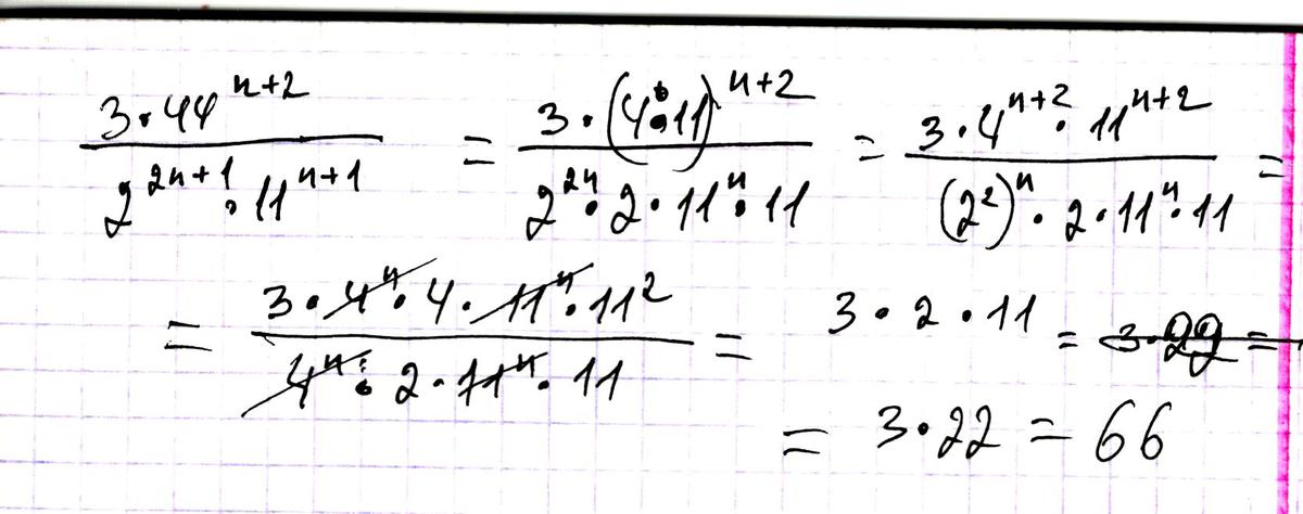
Думаю, это будет как-то так.
Приложения:

Ответ дал:
0
О! Там же плюс! Все не так!
Ответ дал:
0
Показалось.
Ответ дал:
0
там у вас во второй строчке в первой формуле должно быть 4^2 в числителе, а не просто 4.
Ответ дал:
0
так что ответ не 66, а 66*4=264
Ответ дал:
0
Ага, точно. Спасибо, пропустил
Вас заинтересует
2 года назад
2 года назад
7 лет назад
7 лет назад
9 лет назад
10 лет назад