• Предмет: Математика
  • Автор: sadassdasdasdasd
  • Вопрос задан 10 лет назад

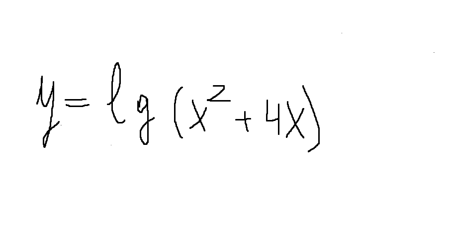
Найти область определения функции.

Приложения:

Ответы

Ответ дал: nVikki
0
x^2+4x≥1
x^2+4x-1≥0
D=5
x1=-2-√5, x2=-2+√5
(-∞;-2-√5)∪(-2+√5;+∞)

Вас заинтересует