• Предмет: Математика
  • Автор: HelpingHare99
  • Вопрос задан 10 лет назад

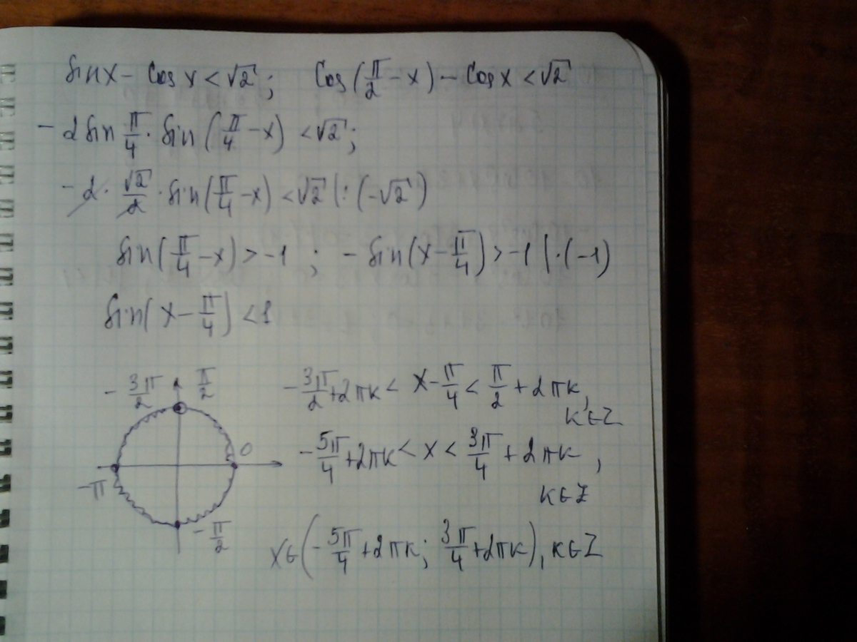
sin x - cos x < √2 решите неравенство

Ответы

Ответ дал: okneret
0
Применена формула преобразования суммы в произведение
Приложения:
Вас заинтересует