Решите пожалуйста неравентсво и систему уравнения
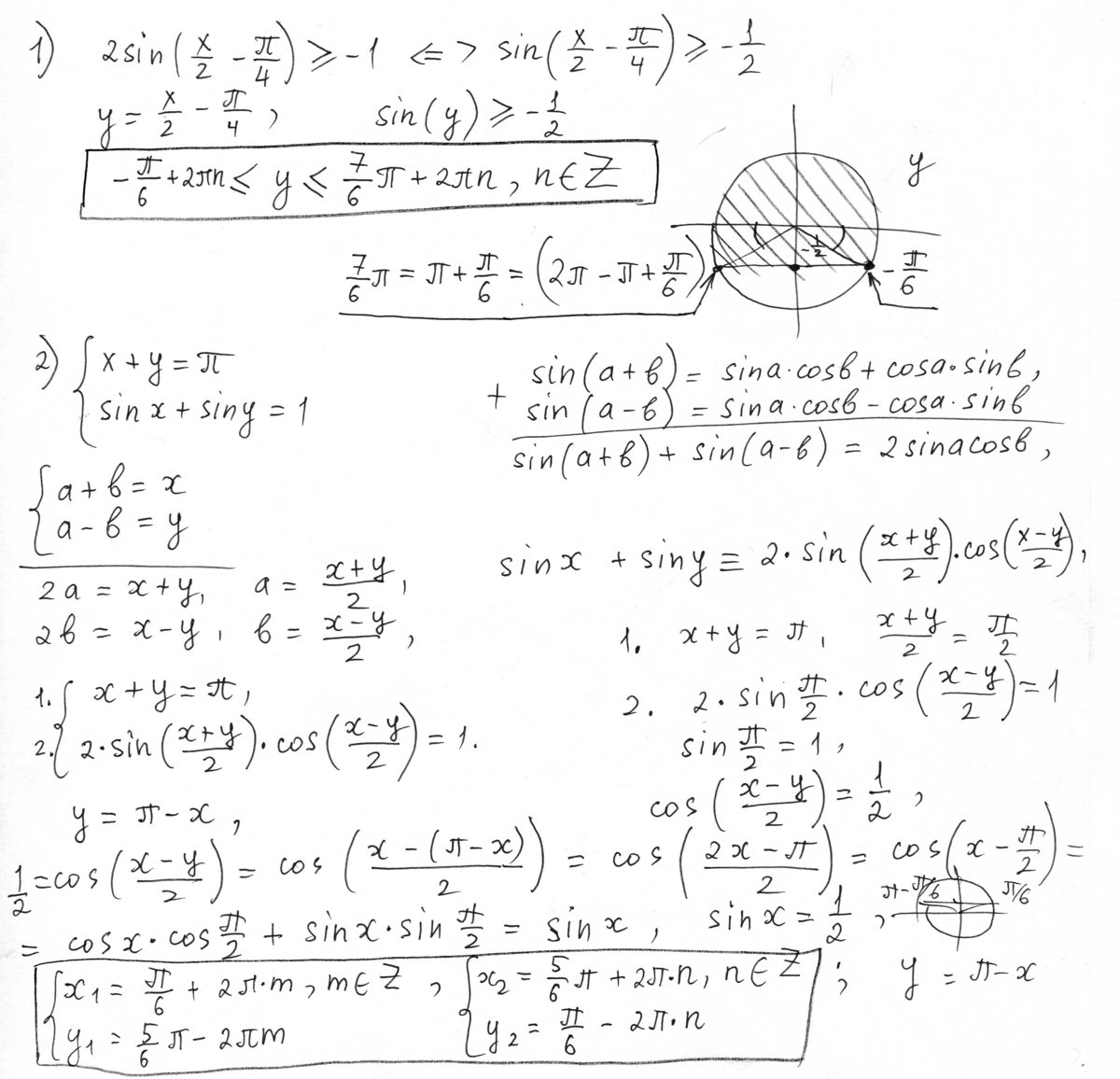
1)2sin(х/2-П/4) больше или равно -1 ответ с тригонометрическим кругом,пожалуйста
2 система:
х+у=П
sinx+siny=1
Ответы
Ответ дал:
0
+++++++++++++++++++++++++++++=====================>
Приложения:
Ответ дал:
0
блин! первое я не дорешал, там нужно сделать обратную замену!
Вас заинтересует
2 года назад
2 года назад
8 лет назад
10 лет назад
10 лет назад
10 лет назад
10 лет назад