Ответы
Ответ дал:
0
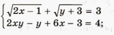
2ху-у+6х-3=4
у(2х-1)+3(2х-1)=4
(2х-1)(у+3)=4
у+3=4/2х-1
подставим получившееся значение во второе уравнение
√(2х-1) + √(4/(2х-1))=3
√(2х-1) + √4/√(2х-1)=3
√(2х-1)(1+2/((√(2х-1)²))=3
√(2х-1)(1+2/(2х-1))=3
√(2х-1)= 3 / (1+2/(2х-1))
возведем обе части уравнения в квадрат
(√(2х-1))²=(3)² /(1+2/(2х-))²
2х-1=9/((2х-1+2)/(2х-1))²
2х-1=9/((2х+1)/(2х-1))²
2х-1=9/((2х+1)²/(2х-1)²)
2х-1=9 *((2х-1)²/(2х+1))²
(2х-1):((2х-1)²/(2х+1))²=9
(2х-1)*((2х+1)²/(2х-1))²=9
(2х+1)²/(2х-1)=9
(2х+1)²=9*(2х-1)
4х²+4х+1=18х-9
4х²+4х-18х+1+9=0
4х²-14х+10=0
D=(14)²-4*4*10=196-160=36
D > 0, значит у нас 2 корня
х1=(14+√36) / 2*4=(14+6)/8=20/8
х2=(14-√36) / 2*4=(14-6)/8=8/8=1
у1+3=4/(2*(20/8)-1)
у1+3=4/(20/4-1)
у1+3=4/(5-1)
у1+3=4/4
у1=1-3
у1=-2
у2+3=4/(2*1-1)
у2+3=4/1
у2=4-3
у2=1
у нас получилось два корня решения уравнений
х1=20/8,у1=-2 и х2=1,у2=1, т.к. мы возводили в квадрат надо проверить подходят ли полученные корни к нашим уравнениям:
√(2*20/8-1) + √((-2)+3)=3
√(20/4-1) + √1=3
√(5-1)+1=3
√4+1=3
2+1=3
3=3, верно, значит х1 и у1 подходят к решению наших уравнений
√(2*1-1) + √(1+3)=3
√1 + √4=3
1+2=3
3=3, верно, значит х2 и у2 подходят к решению наших уравнений
Ответ:
х1=20/8, у1=-2
х2=1, у2=1
у(2х-1)+3(2х-1)=4
(2х-1)(у+3)=4
у+3=4/2х-1
подставим получившееся значение во второе уравнение
√(2х-1) + √(4/(2х-1))=3
√(2х-1) + √4/√(2х-1)=3
√(2х-1)(1+2/((√(2х-1)²))=3
√(2х-1)(1+2/(2х-1))=3
√(2х-1)= 3 / (1+2/(2х-1))
возведем обе части уравнения в квадрат
(√(2х-1))²=(3)² /(1+2/(2х-))²
2х-1=9/((2х-1+2)/(2х-1))²
2х-1=9/((2х+1)/(2х-1))²
2х-1=9/((2х+1)²/(2х-1)²)
2х-1=9 *((2х-1)²/(2х+1))²
(2х-1):((2х-1)²/(2х+1))²=9
(2х-1)*((2х+1)²/(2х-1))²=9
(2х+1)²/(2х-1)=9
(2х+1)²=9*(2х-1)
4х²+4х+1=18х-9
4х²+4х-18х+1+9=0
4х²-14х+10=0
D=(14)²-4*4*10=196-160=36
D > 0, значит у нас 2 корня
х1=(14+√36) / 2*4=(14+6)/8=20/8
х2=(14-√36) / 2*4=(14-6)/8=8/8=1
у1+3=4/(2*(20/8)-1)
у1+3=4/(20/4-1)
у1+3=4/(5-1)
у1+3=4/4
у1=1-3
у1=-2
у2+3=4/(2*1-1)
у2+3=4/1
у2=4-3
у2=1
у нас получилось два корня решения уравнений
х1=20/8,у1=-2 и х2=1,у2=1, т.к. мы возводили в квадрат надо проверить подходят ли полученные корни к нашим уравнениям:
√(2*20/8-1) + √((-2)+3)=3
√(20/4-1) + √1=3
√(5-1)+1=3
√4+1=3
2+1=3
3=3, верно, значит х1 и у1 подходят к решению наших уравнений
√(2*1-1) + √(1+3)=3
√1 + √4=3
1+2=3
3=3, верно, значит х2 и у2 подходят к решению наших уравнений
Ответ:
х1=20/8, у1=-2
х2=1, у2=1
Вас заинтересует
2 года назад
2 года назад
10 лет назад