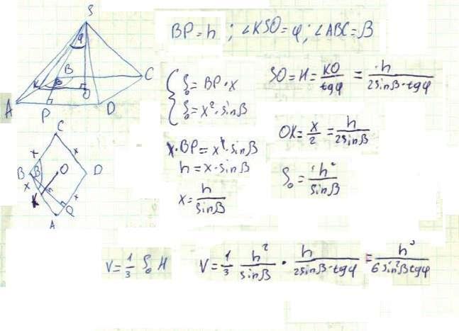
В основи пирамиды лежить ромб з тупым кутом бета и высотою h. Вси высоты бичных граней, проведени з вершины пирамиды, утворюють з ее высотою кут y. Знайдить об'ем пирамиды.
Ответы
Ответ дал:
0
Відповідь у вкладенні.
Приложения:

Вас заинтересует
2 года назад
2 года назад
8 лет назад
10 лет назад
10 лет назад
10 лет назад
10 лет назад